Post-Traumatic stress reaction in a sample of bank employees victims of robbery in the workplace: the role of pre-trauma and peri-trauma factors

Main Article Content

Daniela Converso
Sara Viotti

Keywords

Bank-robbery, violence at work, pre-trauma factors, peri-trauma factors

Abstract

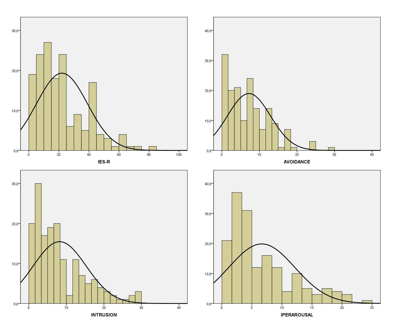
Introduction: Robberies are traumatizing events for workers. Consequently, a number of health problems can arise. In the short term, a common reaction is post-traumatic stress (including intrusion, avoidance, and hyperarousal symptoms). Objective: The aim of the present study was to identify, among pre-trauma factors (personal characteristics: gender, age, educational level, and prior exposure to robberies) and peri-trauma factors (kind of weapon, duration of the event, number of robbers, and numbers of colleagues and clients involved), those that were most likely to cause post-traumatic symptoms in a sample of bank employees who were victims of a robbery. Method: One-hundred-seventy-two employees at two banks in northwest Italy were involved in the research. A month after a robbery, the employees completed a self-report questionnaire including the Impact of Event Scale-Revised (IES-R) by Weiss and Marmar (39). Results: Analyses found one pre-trauma factor (prior exposure to robbery/ies, and one peri-trauma factor, number of robbers) as significant predictors of intrusion. Two peri-trauma factors (number of robbers and duration of robbery) were identified as predictors of avoidance. Finally, one pre-trauma factor (prior exposure to robbery/ies) and two peri-trauma factors (number of robbers and number of colleagues involved in the robbery) were found to be predictors of hyperarousal. Conclusion: The results showed that several peri-trauma factors can increase the risk of workers developing post-traumatic stress reaction and suggest that these factors should be kept in mind when planning intervention programmes aimed at preventing and contrasting psychological consequences of robbery.
Abstract 365 | PDF (Italian) Downloads 177 Figura I (Italian) Downloads 191